피타고라스의 정리와 벡터
피타고라스의 정리와 벡터
포스트 내용
피타고라스의 정리
정의
- 어떠한 삼각형에서 두 변이 서로 직각일 때, 이 삼각형에서 빗변 c의 길이는 나머지 두 변인 a와 b의 각각의 길이를 제곱한 값에 루트를 씌운 값
- 피타고라스의 정리에서는 다음의 2가지의 수식이 성립된다
- a^2 = b^2 + c^2
- a = √(b^2 + c^2)
벡터
정의
- 속도(길이)와 방향을 갖는 물리량
- 시작점은 가지고 있지 않다
- 벡터의 길이를 구할 때는 피타고라스를 이용해 구할 수 있다
표기 방법
- 사진 위쪽의 화살표를 붙이면 벡터만을 표시하는 표현이 됨
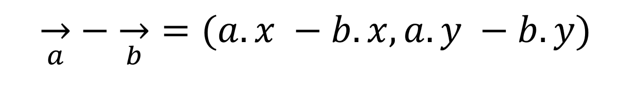
뺄셈 연산
Normalize(정규화)
참고 자료
이 기사는 저작권자의 CC BY 4.0 라이센스를 따릅니다.


